Are you looking for a free printable separation agreement Ontario template? Separating from a partner can be a challenging time, and having a clear agreement in place can help make the process smoother. Fortunately, there are resources available to help you navigate this process.
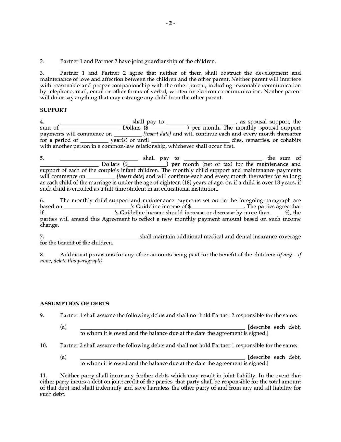
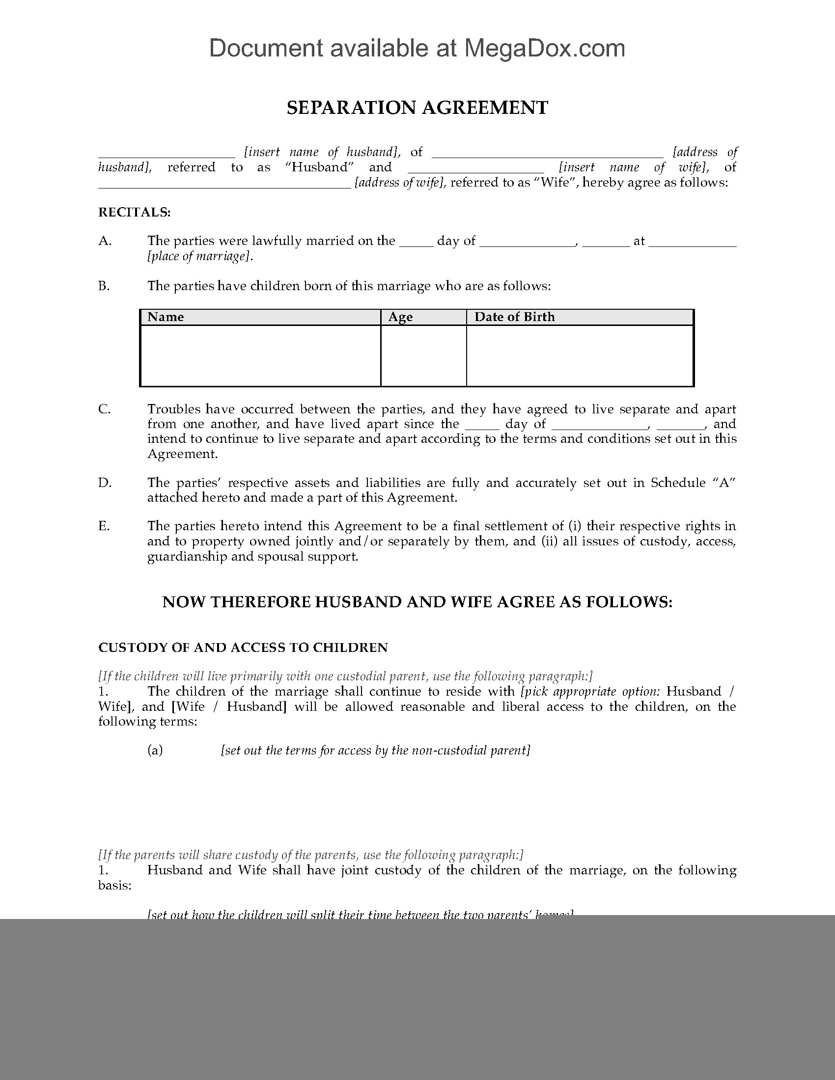
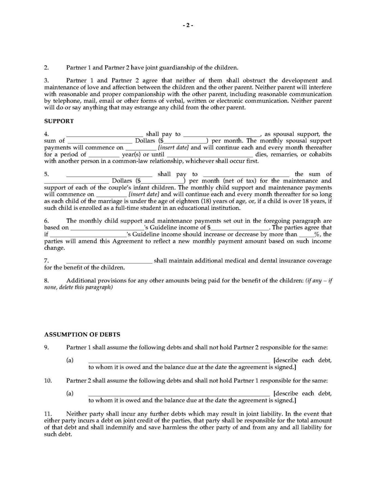
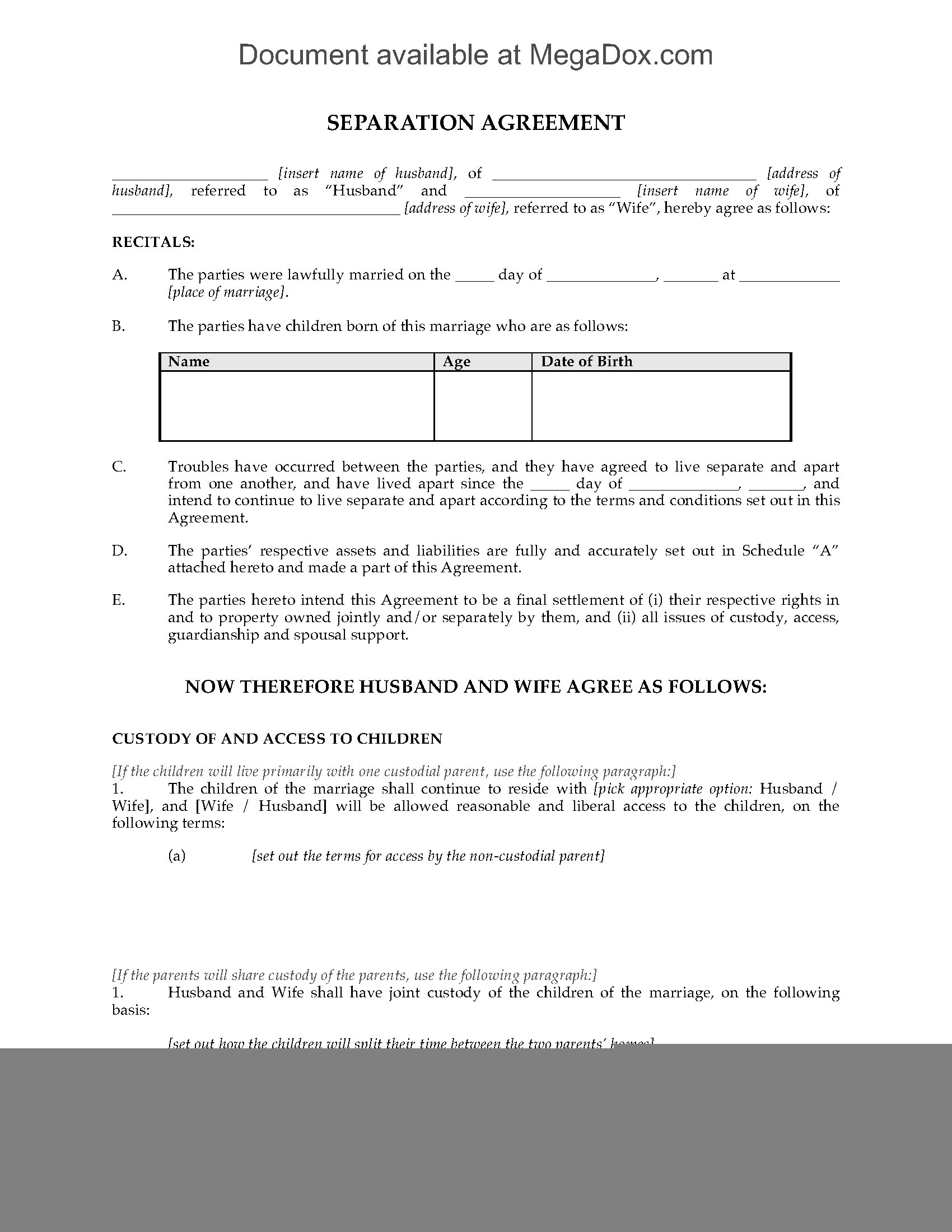
One option is to use a free printable separation agreement Ontario template. These templates provide a framework for outlining important details such as child custody, support payments, and division of assets. By using a template, you can ensure that all necessary information is included in your agreement.
2025 – Free Printable Separation Agreement Ontario Template
Free Printable Separation Agreement Ontario Template
When using a separation agreement template, it’s important to customize it to fit your specific situation. You may need to make adjustments to address unique circumstances or considerations. It’s also a good idea to have your agreement reviewed by a legal professional to ensure it meets all legal requirements.
By using a free printable separation agreement Ontario template, you can save time and money compared to hiring a lawyer to draft an agreement from scratch. These templates are designed to be easy to use and understand, making the process less daunting for those going through a separation.
Remember, a separation agreement is a legally binding document, so it’s essential to take the time to ensure it accurately reflects your agreement with your ex-partner. By using a template as a starting point, you can create a comprehensive document that addresses all necessary aspects of your separation.
In conclusion, if you’re looking for a free printable separation agreement Ontario template, there are resources available to help you through this process. By customizing a template to fit your needs and seeking legal advice when necessary, you can create a detailed agreement that protects your interests during this challenging time.
Ontario Legal Separation Agreement Template SampleTemplatess
Free Printable Separation Agreement Ontario Template At Pictemplate
Ontario Legal Separation Agreement Template Canada Separation Agreement
Free Printable Separation Agreement Ontario Template Printable Templates





