Are you in need of a printable contract for cleaning services? Look no further! Having a contract in place is essential for protecting both parties and ensuring that all expectations are clear from the start.
Whether you are a homeowner looking to hire a cleaning service or a cleaning business owner providing services, having a well-drafted contract is crucial. It outlines the scope of work, payment terms, cancellation policies, and more.
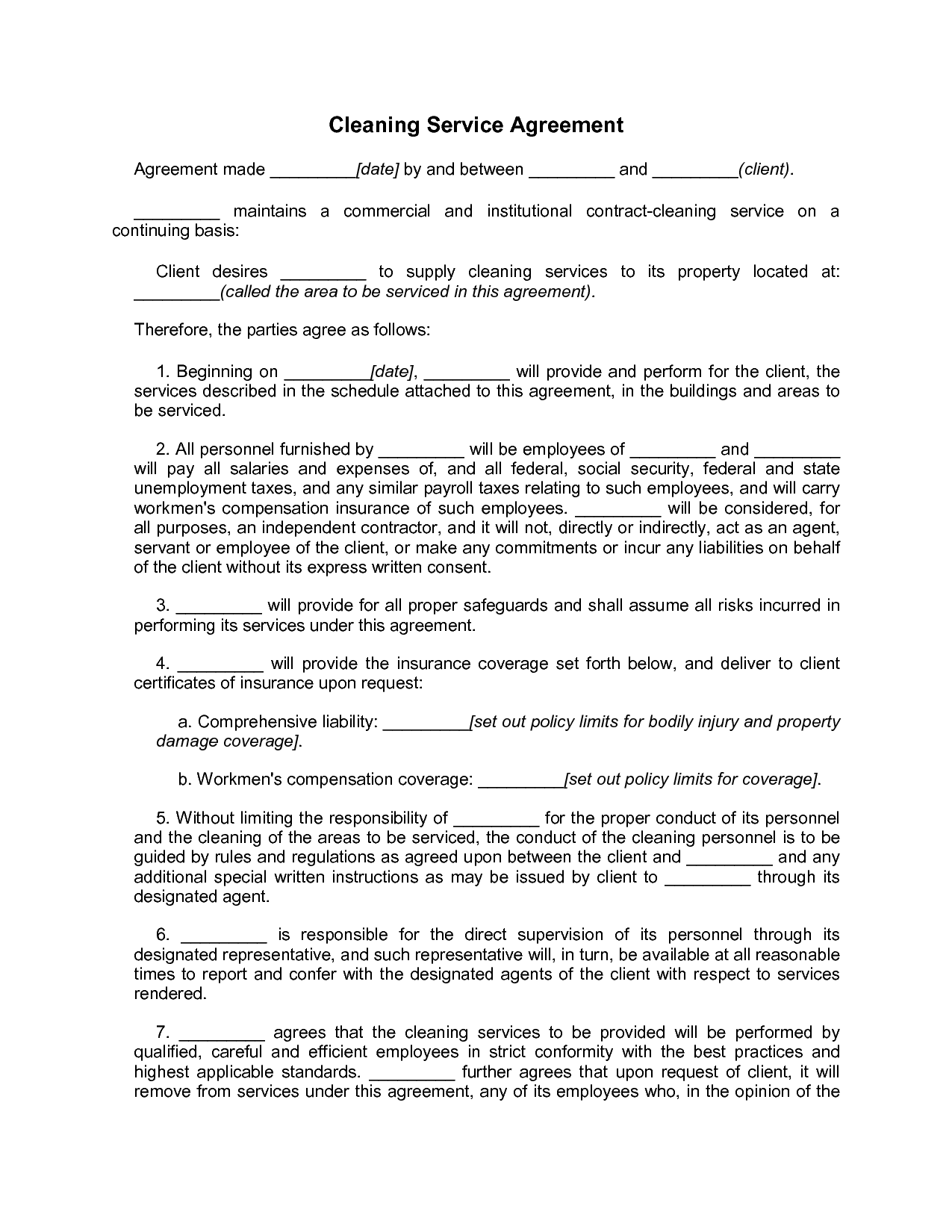
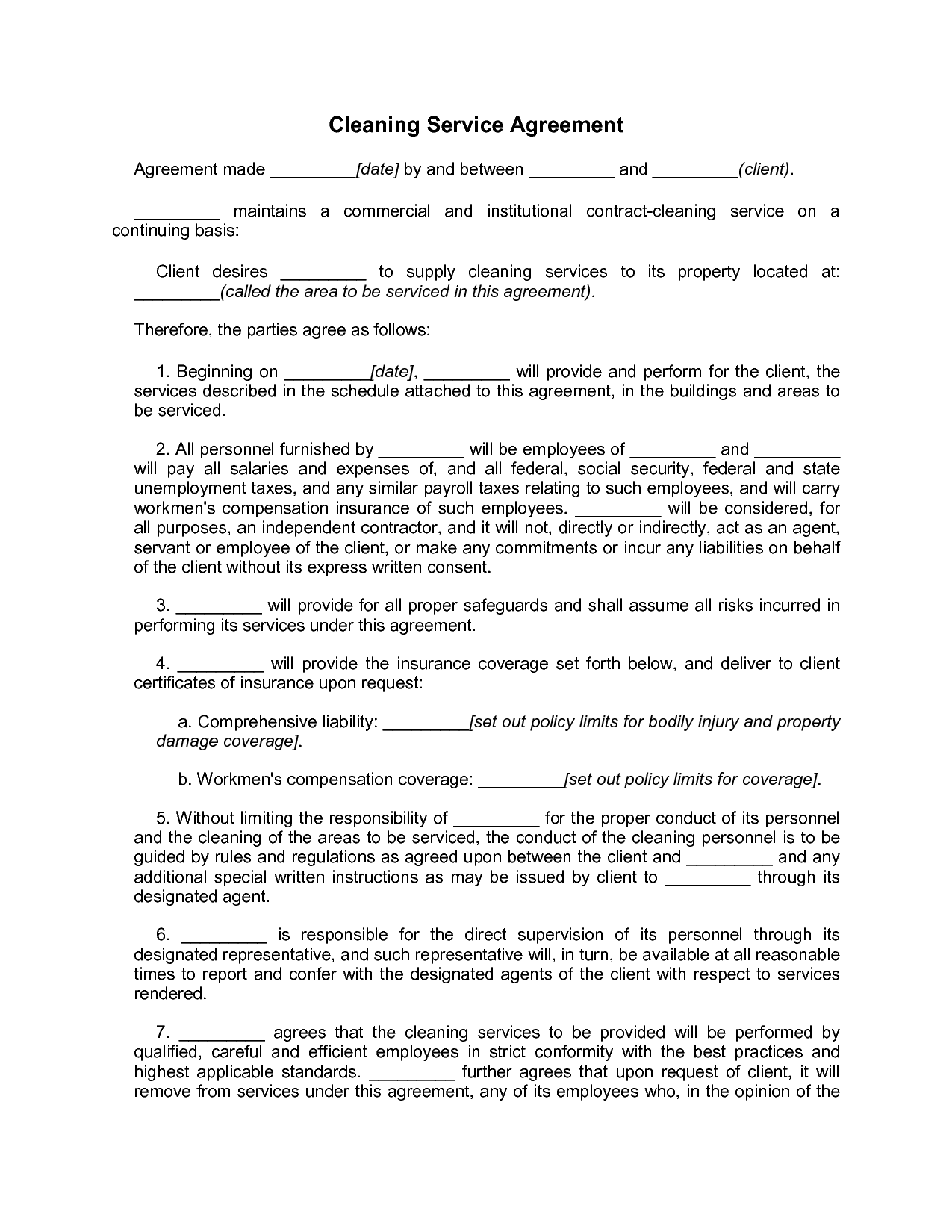
2025 – Printable Contract For Cleaning Services
Printable Contract For Cleaning Services
When creating a printable contract for cleaning services, be sure to include details such as the names of both parties, the services to be provided, the frequency of cleanings, and the cost. It’s also important to include any additional terms or conditions agreed upon.
Clearly outline the responsibilities of both parties, including who will provide cleaning supplies, how damages will be handled, and what happens in the event of a cancellation. Having everything in writing helps prevent misunderstandings and disputes down the line.
Having a printable contract for cleaning services not only protects both parties but also helps establish a professional relationship. It shows that you take your business seriously and are committed to providing high-quality services. Plus, it gives you peace of mind knowing that everything is documented and agreed upon.
So, whether you are a homeowner or a cleaning business owner, having a printable contract for cleaning services is a must. It sets clear expectations, protects both parties, and helps ensure a smooth and successful working relationship. Don’t wait any longer – get your contract in place today!
Cleaning Services Contract Agreement Free Printable Documents
Cleaning Services Contract Agreement Free Printable Documents
Printable Cleaning Contract Template
Printable Cleaning Contract Template Fillable Form 2023





