Are you in need of a printable contract of lease in Tagalog for your property in the Philippines? Look no further! Creating a lease agreement is essential to protect both landlords and tenants.
With a clear and detailed contract, you can avoid any misunderstandings or disputes down the line. It’s crucial to have all the terms and conditions laid out in writing to ensure a smooth rental process.
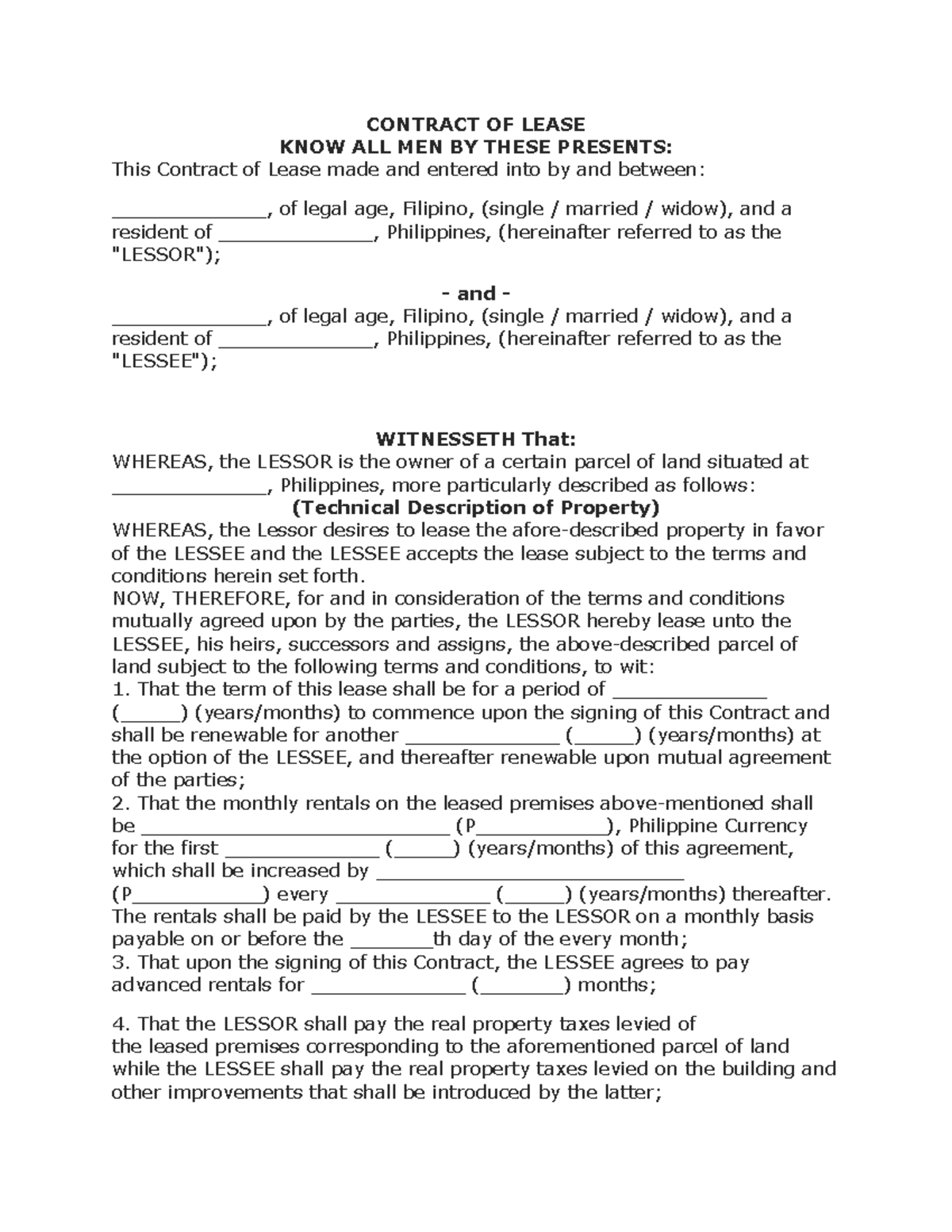
2025 – Printable Contract Of Lease Tagalog Philippines
Printable Contract Of Lease Tagalog Philippines
When drafting your lease agreement, make sure to include important details such as the duration of the lease, rental amount, security deposit, and any rules or regulations for the property. Be specific about the responsibilities of both parties to avoid any confusion.
Having a contract in Tagalog can help ensure that all parties fully understand the terms of the lease. It’s important to have a version in the local language to avoid any language barriers or misinterpretations.
Before signing the lease agreement, make sure to review it carefully and clarify any doubts with the other party. It’s essential to have a clear understanding of all the terms and conditions to protect your rights as a landlord or tenant.
By having a printable contract of lease in Tagalog for your property in the Philippines, you can establish a transparent and professional relationship with your tenants. This document serves as a legal protection for both parties and can help resolve any disagreements that may arise during the tenancy.
So, whether you’re a landlord looking to rent out your property or a tenant searching for a place to live, having a well-crafted lease agreement is crucial. Don’t hesitate to create a contract in Tagalog to ensure smooth communication and a successful rental experience for everyone involved.
Sample Tagalog Contract Of Lease At Kenneth Bray Blog
Sample Tagalog Contract Of Lease At Kenneth Bray Blog
Sample Tagalog Contract Of Lease At Kenneth Bray Blog
Sample Tagalog Contract Of Lease At Kenneth Bray Blog





