Are you looking for a printable contract of lease in Tagalog to use for your rental property? Look no further! Having a well-drafted lease agreement is essential for both landlords and tenants to protect their rights and responsibilities.
Whether you’re a landlord renting out a property or a tenant looking for a place to rent, having a written lease agreement in Tagalog can help avoid misunderstandings and legal issues down the road. It’s always better to be safe than sorry!
2025 – Printable Contract Of Lease Tagalog
Printable Contract Of Lease Tagalog
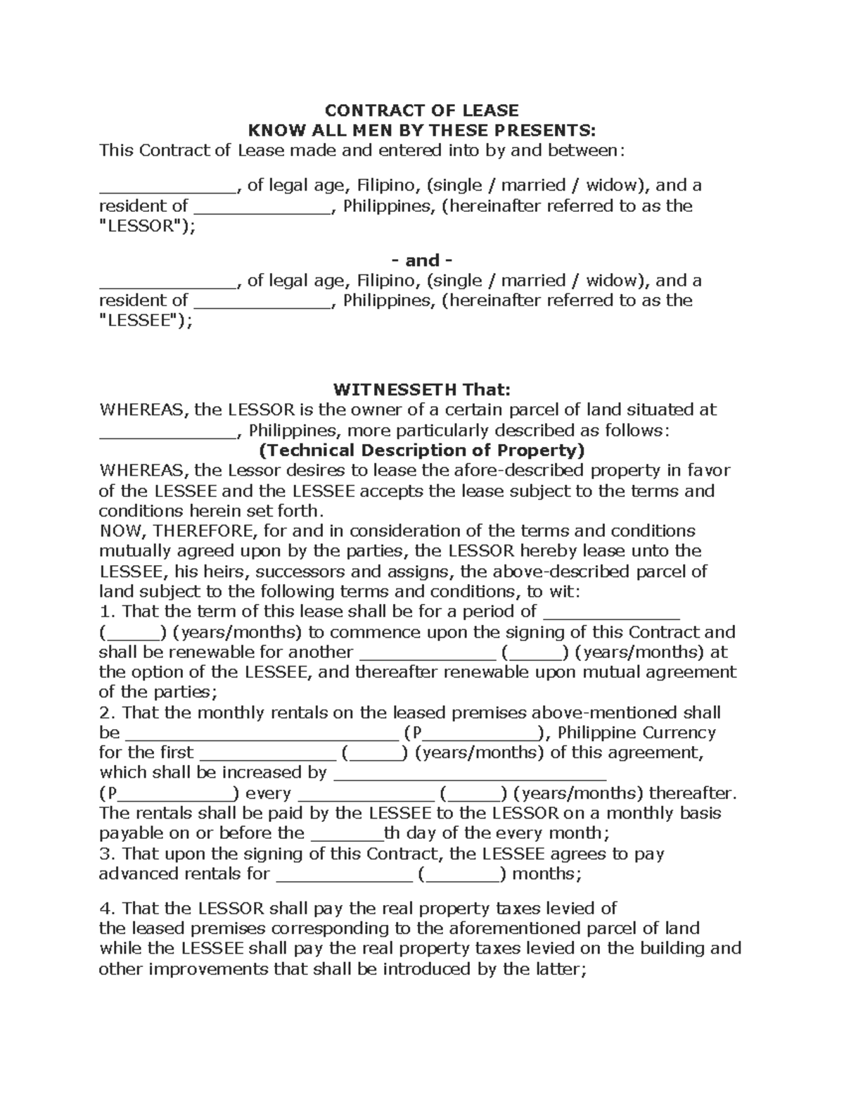
When creating a contract of lease in Tagalog, make sure to include important details such as the names of the landlord and tenant, the property address, the rental amount, the duration of the lease, and any rules or regulations that both parties need to follow.
Having a written lease agreement in Tagalog can help clarify expectations and prevent disputes. It’s a good idea to have both parties read and understand the terms of the lease before signing to ensure everyone is on the same page.
By using a printable contract of lease in Tagalog, you can easily customize the agreement to suit your specific needs and requirements. It’s a convenient and practical way to ensure that both parties are protected and have a clear understanding of their rights and obligations.
In conclusion, having a printable contract of lease in Tagalog is a smart and proactive step for both landlords and tenants. It provides a written record of the terms and conditions of the rental agreement, which can help prevent misunderstandings and legal issues in the future. So, make sure to use a well-drafted lease agreement to protect yourself and your property!
Sample Tagalog Contract Of Lease At Kenneth Bray Blog
Sample Tagalog Contract Of Lease At Kenneth Bray Blog
Sample Tagalog Contract Of Lease At Kenneth Bray Blog
Sample Tagalog Contract Of Lease At Kenneth Bray Blog





