Looking to create a solid legal foundation for your domestic partnership? A printable domestic partnership agreement might be just what you need. This document outlines the rights and responsibilities of each partner, ensuring clarity and peace of mind.
While it might not be the most romantic aspect of a relationship, having a domestic partnership agreement in place can prevent future misunderstandings and protect both parties in case of unforeseen circumstances. It’s a way to establish boundaries and expectations upfront, fostering a healthy and transparent partnership.
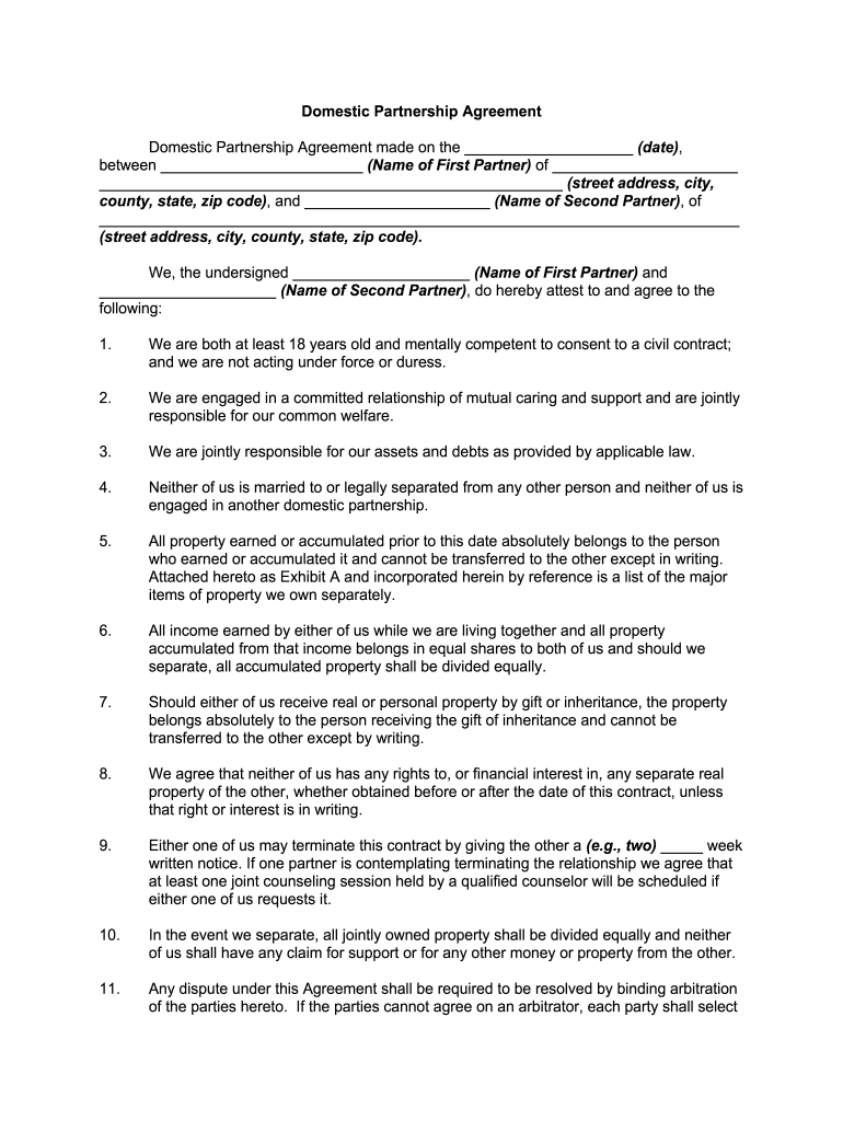
2025 – Printable Domestic Partnership Agreement
Printable Domestic Partnership Agreement: Why You Need One
By clearly outlining issues such as property ownership, financial responsibilities, and healthcare decisions, a domestic partnership agreement can help avoid potential conflicts down the road. It’s a proactive step that shows commitment and respect for each other’s interests.
With a printable agreement, you can easily customize the document to suit your specific needs and preferences. Whether you’re sharing assets, planning for the future, or simply clarifying your intentions, having a written agreement can bring peace of mind and security to your relationship.
Remember, a domestic partnership agreement is not just a legal document; it’s a reflection of your commitment to each other. By openly discussing and addressing important issues, you’re demonstrating your willingness to communicate and work together as a team. It’s an investment in your partnership’s longevity and well-being.
So, if you’re ready to take the next step in your relationship and ensure a solid foundation for the future, consider creating a printable domestic partnership agreement. It’s a simple yet powerful tool that can provide clarity, security, and peace of mind for both you and your partner. Start the conversation today and set yourselves up for a successful and harmonious partnership.
Printable Domestic Partnership Agreement Printable Word Searches
Printable Domestic Partnership Agreement Printable Word Searches
Printable Domestic Partnership Agreement
Printable Domestic Partnership Agreement




