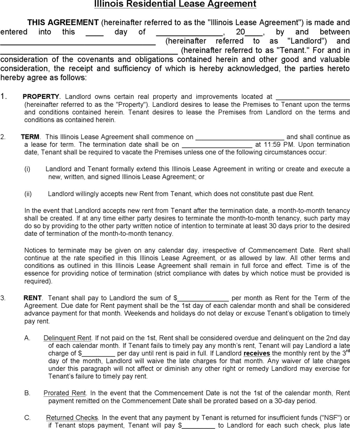
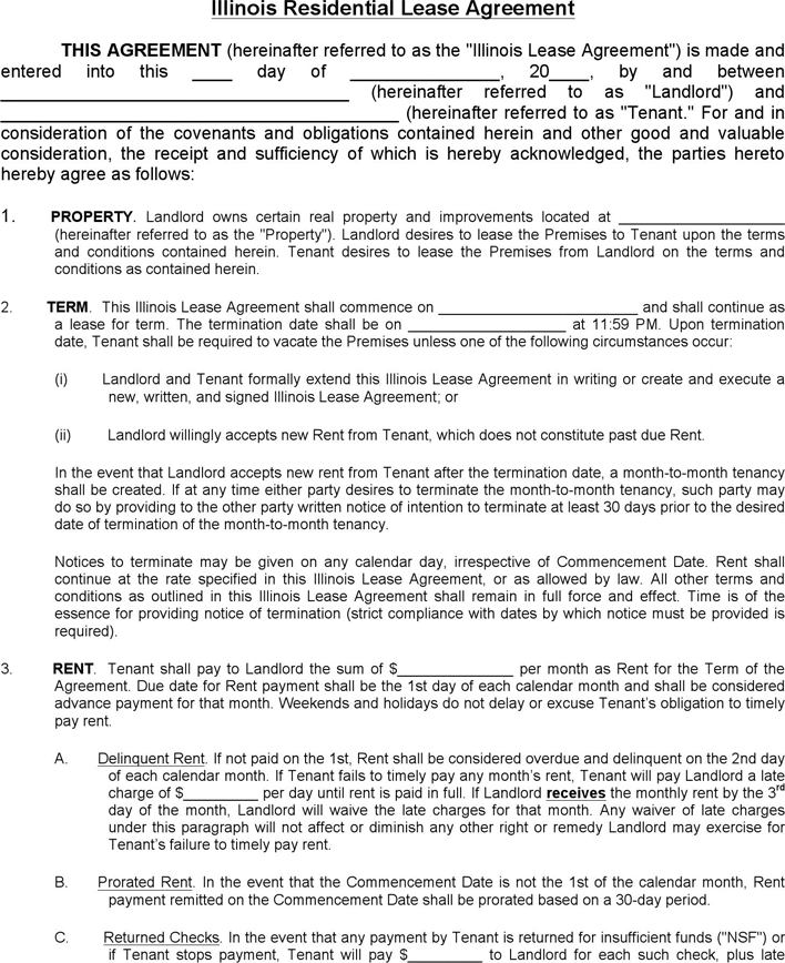
Looking for a printable lease agreement in Illinois? Whether you’re a landlord or tenant, having a written agreement is essential for a smooth rental process. It outlines the terms and conditions agreed upon by both parties, helping to prevent any misunderstandings down the line.
Lease agreements in Illinois must comply with state laws and regulations to be legally binding. It’s crucial to ensure that your lease agreement includes all the necessary information to protect both landlords and tenants. A printable lease agreement can be a convenient option for those looking to create a detailed and customized document.
2025 – Printable Lease Agreement Illinois
Printable Lease Agreement Illinois
When creating a printable lease agreement in Illinois, be sure to include essential details such as the names of the landlord and tenant, the property address, the duration of the lease, the amount of rent, and the security deposit amount. Additionally, outline any rules and regulations regarding the use of the property and any maintenance responsibilities.
It’s also important to include clauses related to late payments, maintenance and repair procedures, pet policies, and the process for resolving disputes. By including these provisions in your lease agreement, you can protect your rights and responsibilities as a landlord or tenant.
Once you have finalized your printable lease agreement, both parties should carefully review the document before signing. It’s recommended to have a legal professional or real estate agent review the agreement to ensure that it complies with Illinois laws and regulations. By taking the time to create a thorough and detailed lease agreement, you can help prevent potential issues and conflicts during the rental period.
In conclusion, a printable lease agreement in Illinois is a valuable tool for landlords and tenants to establish clear expectations and protect their rights. By including all necessary details and provisions in the agreement, both parties can enjoy a smooth and hassle-free rental experience. Remember to review the document carefully and seek professional advice if needed before signing.
Free Printable Lease Agreement Illinois Download Free Printable Lease
Printable Lease Agreement Contract Free Download And Print For You
Printable Lease Agreement Extension Free Download And Print For You
Printable Lease Agreement California Free Download And Print For You





