Going through a separation can be a challenging time, but having a clear and legally binding separation agreement can help make the process smoother. If you’re in British Columbia and looking for a Printable Separation Agreement, you’re in the right place.
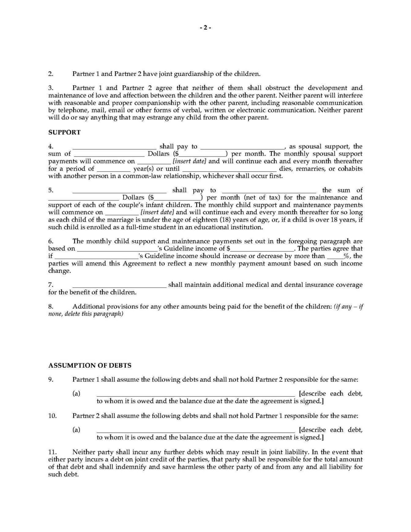
A Printable Separation Agreement BC is a document that outlines the terms of separation between two parties. It covers important aspects such as child custody, division of assets, and spousal support. Having a written agreement can provide clarity and avoid misunderstandings down the road.
2025 – Printable Separation Agreement Bc
Creating a Printable Separation Agreement BC
When creating a separation agreement in British Columbia, it’s essential to consider all aspects of your separation. This includes financial matters, child custody arrangements, and any other issues that need to be addressed. By outlining everything clearly in the agreement, both parties can have peace of mind.
It’s important to ensure that both parties fully understand and agree to the terms laid out in the separation agreement. Consulting with a legal professional can help ensure that the agreement is fair and legally binding. This can help prevent any disputes or issues in the future.
Once the separation agreement is finalized and signed by both parties, it becomes a legally binding document. It’s crucial to keep a copy of the agreement in a safe place and refer to it as needed. Having a clear separation agreement can provide clarity and peace of mind during a challenging time.
In conclusion, a Printable Separation Agreement BC can help simplify the separation process and provide a clear roadmap for both parties moving forward. By addressing key issues in the agreement and seeking legal advice when needed, you can ensure a smoother transition during this difficult time.
Printable Separation Agreement Form Ontario Printable Forms Free Online
Free Printable Separation Agreement Form Printable Forms Free Online
Printable Separation Agreement Form Ontario Printable Forms Free Online
Word Printable Separation Agreement Template Printable Templates





