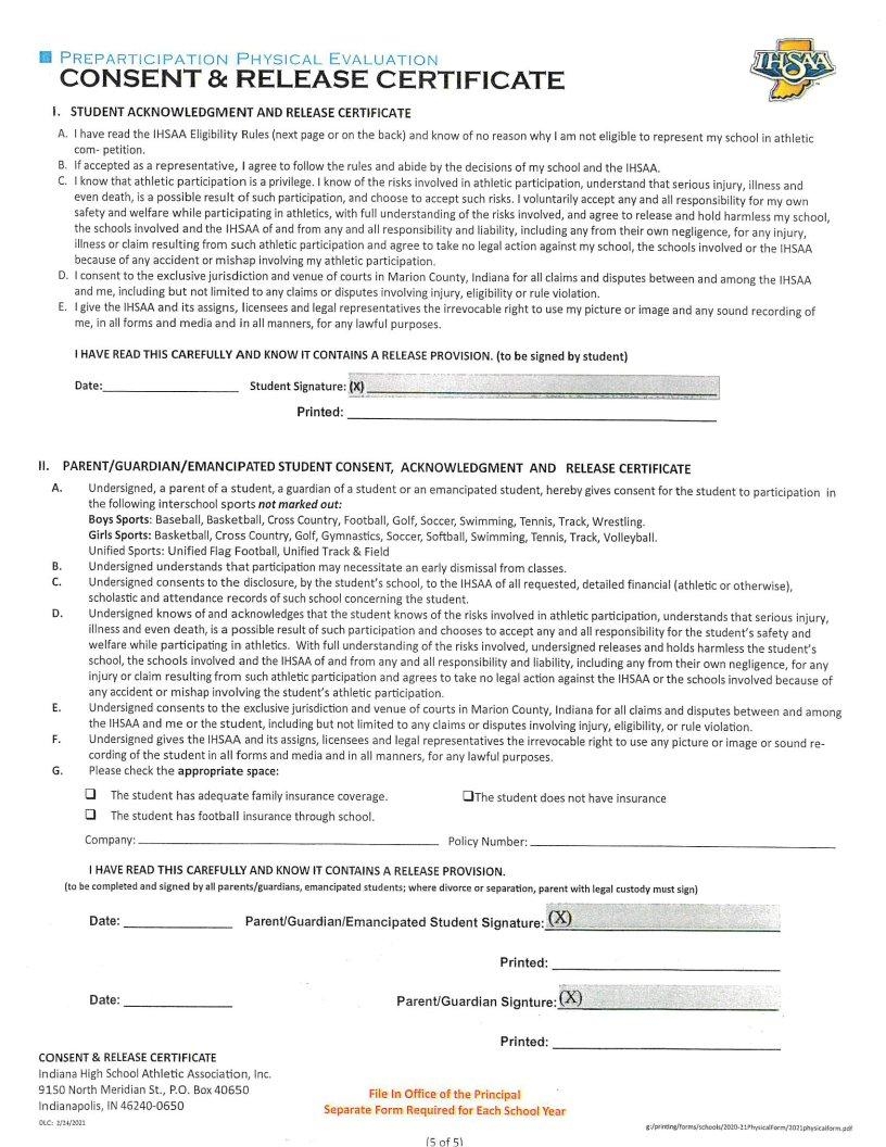
If you’re looking for the IHSSA physical form 2025-2026 printable, you’ve come to the right place. It’s important to have this form filled out correctly for any upcoming sports seasons or activities.
Having the IHSSA physical form completed ensures that your child is in good health and able to participate in sports safely. It’s a necessary step to take before getting involved in any extracurricular activities.
2025 – Ihsaa Physical Form 2025 2026 Printable
Where to Find the IHSSA Physical Form 2025-2026 Printable
You can easily find the IHSSA physical form for the 2025-2026 school year on the official IHSSA website. Simply navigate to the forms section and look for the specific year you need. Once you’ve located the form, you can download and print it out for completion.
Make sure to fill out all sections of the form accurately and provide any necessary medical information. It’s important to have a healthcare provider sign off on the form to ensure that your child is fit to participate in sports.
Once you have completed the IHSSA physical form for 2025-2026, make sure to submit it to the appropriate school or organization before the deadline. This will ensure that your child is cleared to participate in any upcoming sports seasons without any delays.
By taking the time to fill out the IHSSA physical form, you are prioritizing your child’s safety and well-being. It’s a simple yet crucial step in ensuring that they can enjoy sports and activities in a healthy and secure environment.
Don’t forget to keep a copy of the completed form for your records. This way, you’ll have a reference in case you need to provide it to coaches, school officials, or medical professionals in the future. Stay organized and keep track of all necessary paperwork for your child’s sports participation.
Make sure to stay on top of any updates or changes to the IHSSA physical form requirements for future years. It’s essential to stay informed and compliant with any regulations to ensure a smooth and successful sports season for your child.
Ihsaa Physical Form Fill Out Printable PDF Forms Online
Ihsaa Physical Form Fill Out Printable PDF Forms Online
Ihsaa Physical Form Fill Out Printable PDF Forms Online
Ihsaa Physical Form Fill Out Printable PDF Forms Online





